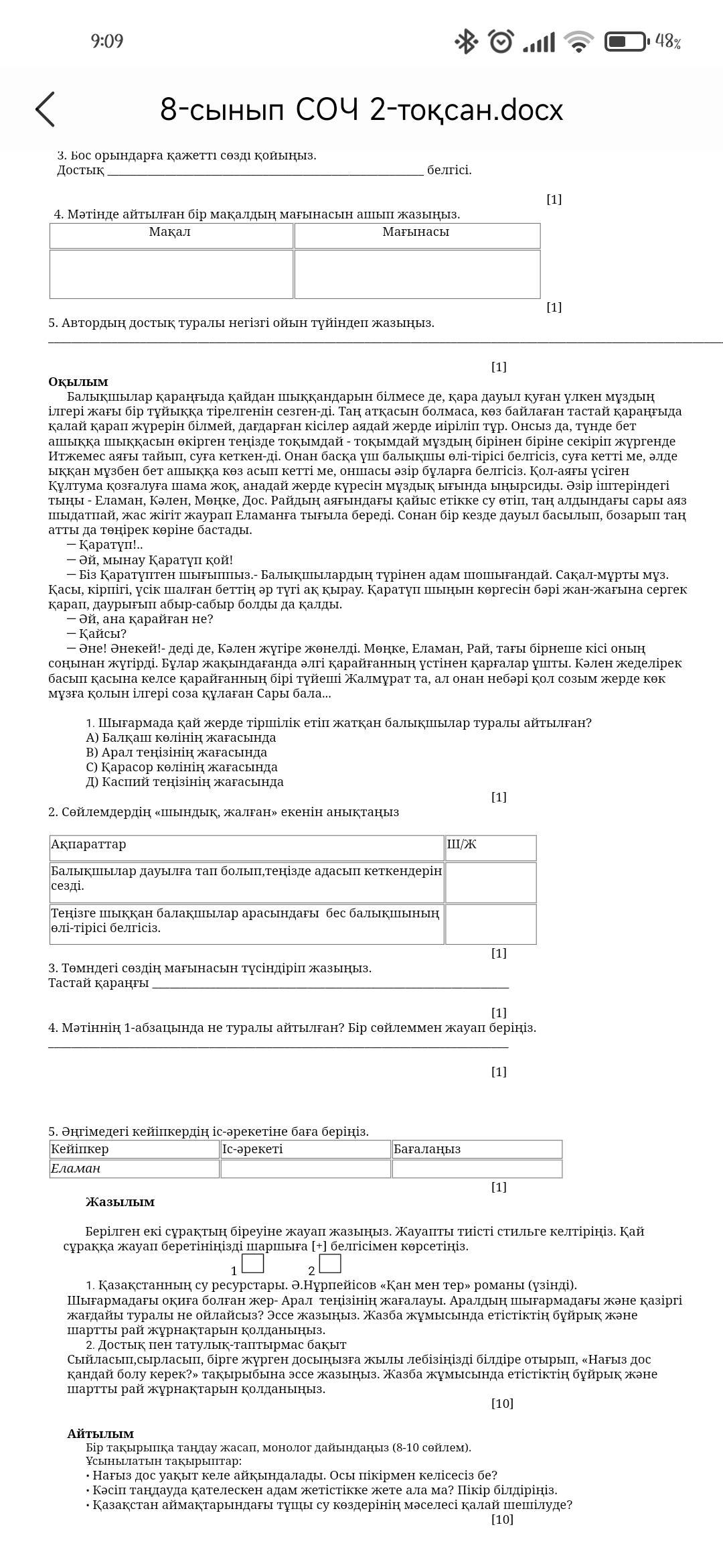
• Предмет: Қазақ тiлi
  • Автор: m70923196
  • Вопрос задан 2 года назад

Помогите с 1,2,3,4,5

Приложения:

Ответы

Ответ дал: lodvriqs
1

Ответ:

1. А ) Достық адамдардың сенімінен басталады.

2. С) Сәтсіздіктерге мойымауға, басқа түскен қайғы мен қиыншылықты бірге көтеруге.

3. Достық өзара жауапкершілік пен қамқорлықтың, рухани жақындықтың белгісі.

4. Мақал : Дос жылатып,дұшпан күлдіріп айтады.

Мағынасы: Досың болған соң қиын болса да шындықты айтады,жауың жау болған соң күлдіріп,өтірік айтады.

5. Дос әрқашан жаныңда болады,қиын кезде өз басын ойламай адам өз досына көмек беру керек.

1. С) Қарасор көлінің жағасында.

2. Жалған.

Шын.

3. Тастай қараңғы дегеніміз дала немесе аула өте қараңғы.

4. Балыкшылар балық аулауға түде шығады және жол таппай бір тасқа немесе т.б бірдеңе тіреліп,қадалып қалады.

5. ? не знаю

Удачи!!


m70923196: Спасибо
Вас заинтересует