• Предмет: Математика
  • Автор: iitimur
  • Вопрос задан 2 года назад

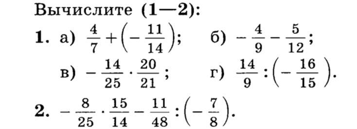
Помогите пжпжпжпж 6 класс

Приложения:

Ответы

Ответ дал: klozapinka
1

❗в номере 1 под буквой Б -31/36

Приложения:
Вас заинтересует