Ответы
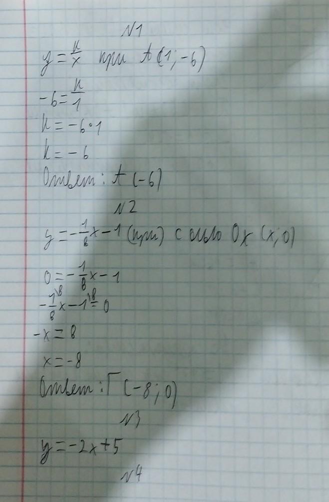
Ответ дал:
2
Ответ:
держи, у меня тоже был такой соч мне поставили 16/20 я не сделала задание 6, незнала
Приложения:


milchakov141209:
спасибо большое!
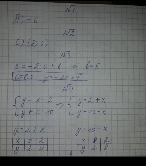
Ответ дал:
1
Ответ:
всё правильно, у меня такой же соч был по алгебре
ток в 6 задании в Я хз сори
Приложения:



Вас заинтересует
1 год назад
1 год назад
3 года назад
8 лет назад