• Предмет: Алгебра
  • Автор: qclash207
  • Вопрос задан 2 года назад

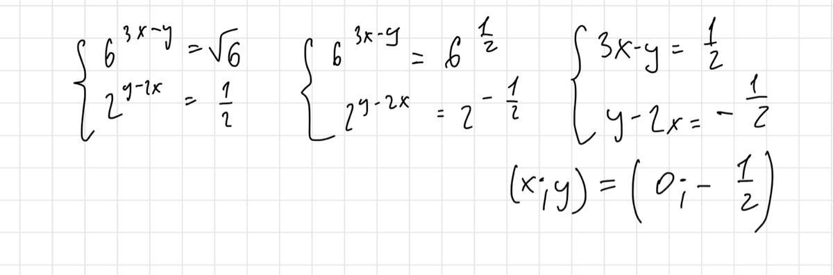
Решить систему уравнений ​

Приложения:

Ответы

Ответ дал: Аноним
1
Вот ответ
…….()()()()
Приложения:
Вас заинтересует