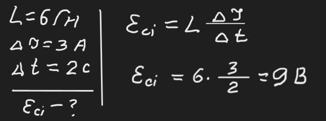
Визначити EPC самоіндукції яка виникає в котушці індивідуальністю 6 Гн під час зміни сили струму на 3 А за 2 с.
Ответы
Ответ дал:
1
Відповідь: 9 В
Пояснення:
Приложения:

Вас заинтересует
1 год назад
1 год назад
1 год назад
3 года назад
3 года назад