• Предмет: Алгебра
  • Автор: yaroshanaana
  • Вопрос задан 2 года назад

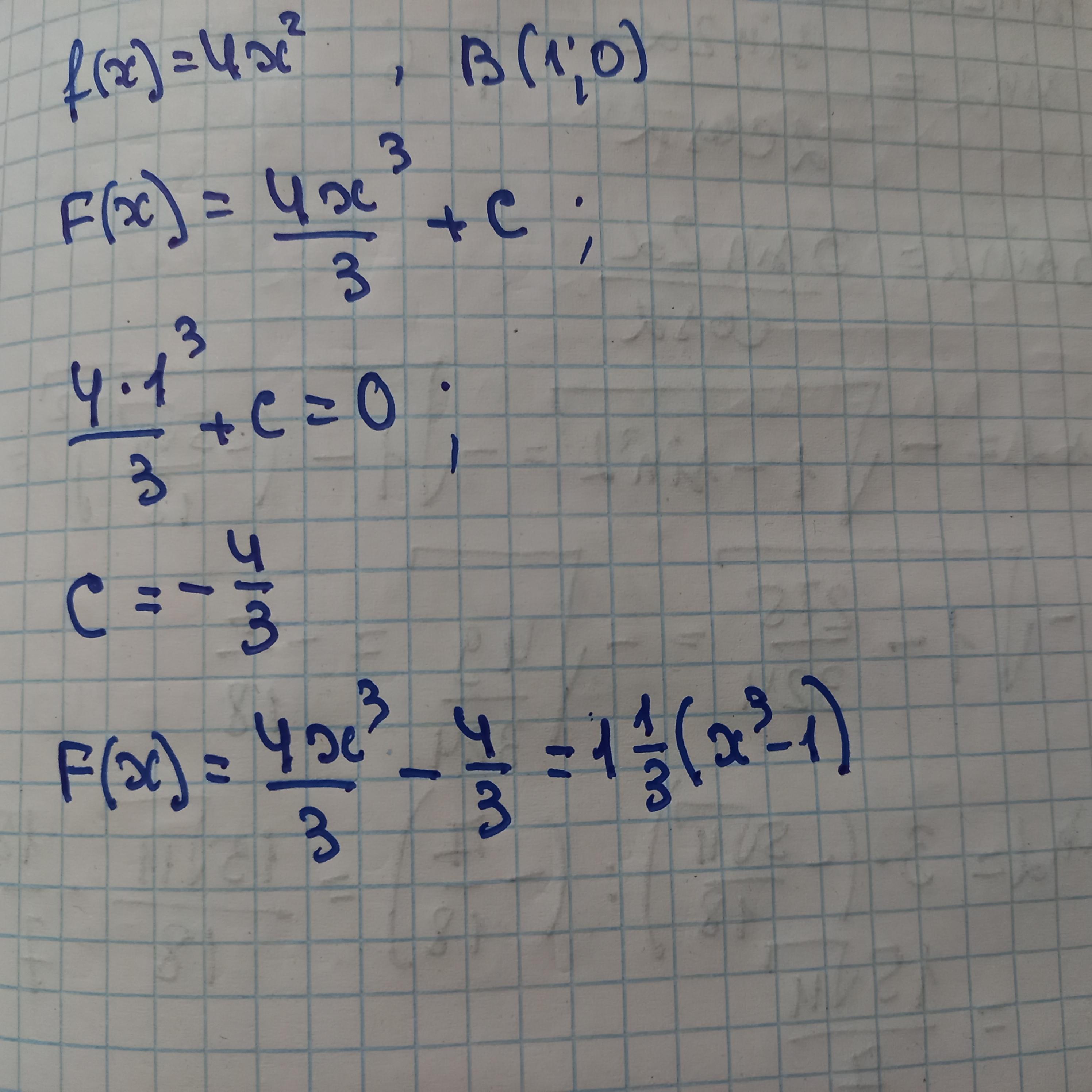
Для f(x)=4x^2 Знайти первісну,графік якої проходить через точку В(1;0)

Ответы

Ответ дал: aarr04594
1

Відповідь: фото

Пояснення:

розв'язання завдання додаю

Приложения:
Вас заинтересует