• Предмет: Физика
  • Автор: dburanova365
  • Вопрос задан 2 года назад

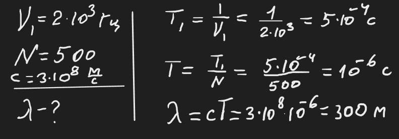
Розв’яжіть задачу. Яка довжина електромагнітної хвилі, якщо за час, рівний періоду звукових коливань з частотою 2000 Гц, відбувається 500 коливань?

Ответы

Ответ дал: zybkov1950
0

Відповідь: 300 м

Пояснення:

Приложения:
Вас заинтересует