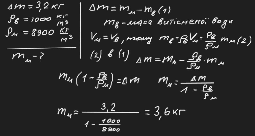
Коли у відро, до краю наповнене водою,
опустили мідну деталь, маса відра збіль-
шилась на 3,2 кг. Якою є маса деталі?
Густина води = 1000 кг/м3
Ответы
Ответ дал:
1
Відповідь: 3,6 кг
Пояснення:
Приложения:
Вас заинтересует
2 года назад
2 года назад
2 года назад
3 года назад
3 года назад
9 лет назад
9 лет назад