• Предмет: Математика
  • Автор: Abobyi123
  • Вопрос задан 2 года назад

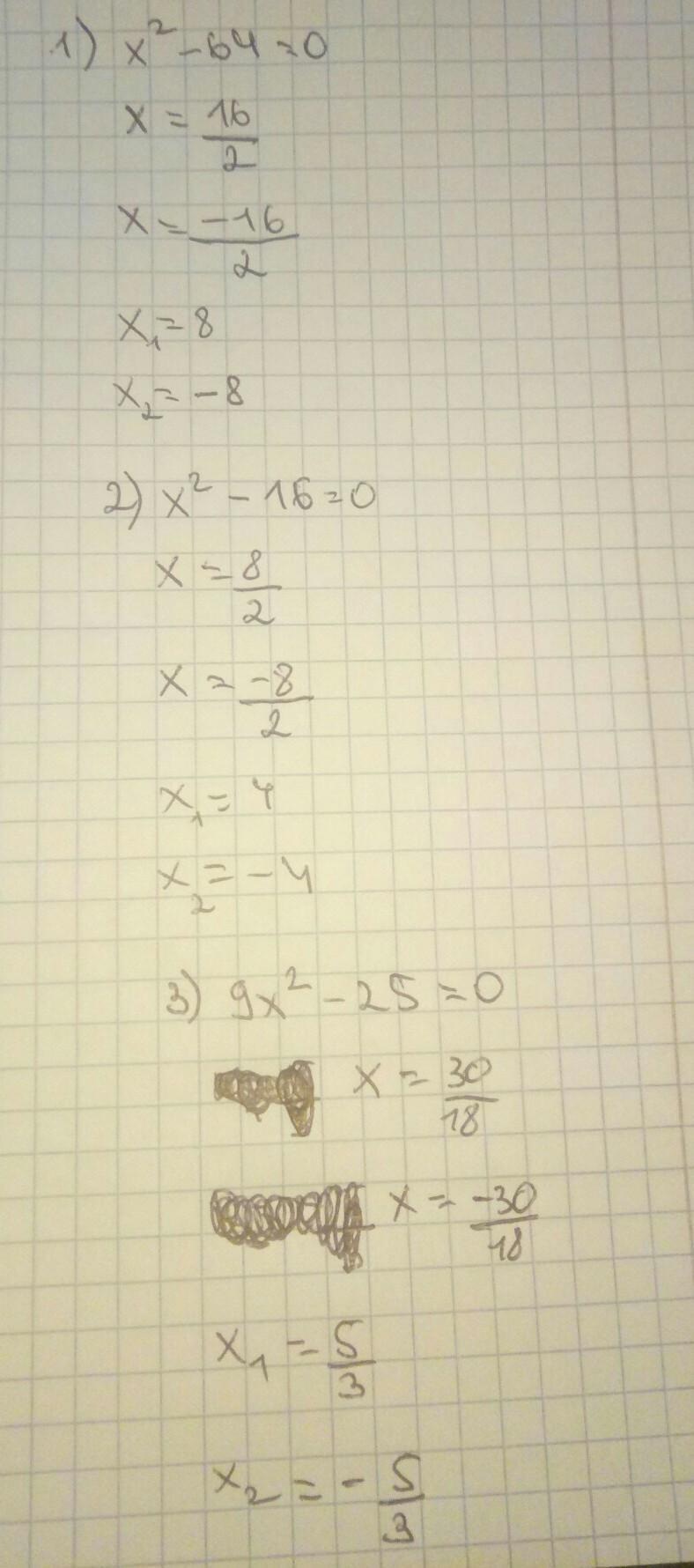
а) х(во второй степени) - 64 = 0
б) х(во второй степени)2 – 16 = 0
в) 9х(во второй степени) – 25 = 0
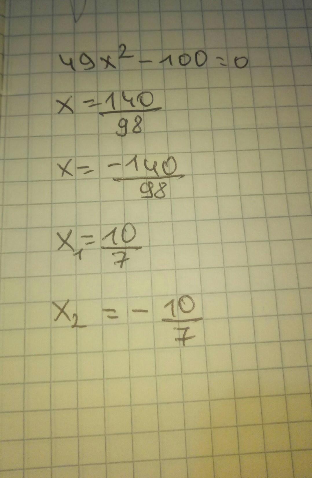
г)49х(во второй степени) – 100 = 0

Ответы

Ответ дал: Evgenia4836
2

а) x²-64=0

(x-8)(x+8)=0

x1= -8

x2= 8

б) x²-16=0

(x-4)(x+4)=0

x1= -4

x2=4

в) 9x²-25=0

(3x-5)(3x+5)=0

x1= -5/3

x2= 5/3

г) 49x²-100=0

(7x-10)(7x+10)=0

x1= -10/7

x2= 10/7


Abobyi123: Спасибо,степени при копировании текста не переносятся,поэтому пришлось так писать
Ответ дал: lolich112
1

Решение на фотографии.

Приложения:
Вас заинтересует