• Предмет: Алгебра
  • Автор: chulkovyuriy1
  • Вопрос задан 2 года назад

Решите систему уравнений. Пожалуйста.

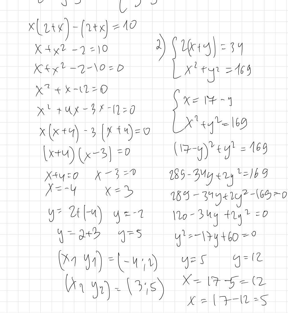
y-x=2
xy-y=10

2(x+y)=34
x²+y²=169​

Ответы

Ответ дал: Аноним
1
Вот ответ
………()()()()()
Приложения:

chulkovyuriy1: благодарю
Вас заинтересует