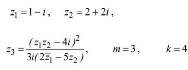
Допоможіть буль ласка!!!! Для заданих чисел z1 та z2 виконати вказані дії:
a) Знайти значення z3;
б) Числа z1 та z2 записати в показниковій та тригонометричній формах;
в) Для числа z1 знайти всі корені степеня m;
г) число z2 піднести до степеня k;
Приложения:

Ответы
Ответ дал:
2
а)
б)
Показательная форма записи комплексного числа:
Тригонометрическая форма записи комплексного числа:
Где - модуль комплексного числа,
- аргумент комплексного числа.
Для комплексного числа модуль определяется по формуле:
При условии , аргумент для того же комплексного числа определяется по формуле:
Находим модули и аргументы заданных чисел:
Тогда:
в)
Извлечение корня n-ой степени из комплексного числа выполняется по формуле:
В данном случае нужно извлечь кубический корень. Значит, в результате будет получено три значения:
г)
Возведение в степень удобно выполнить по формуле Муавра:
Получим:
Вас заинтересует
1 год назад
1 год назад
1 год назад
1 год назад
3 года назад
3 года назад
8 лет назад