• Предмет: Информатика
  • Автор: ramazanyy09
  • Вопрос задан 2 года назад

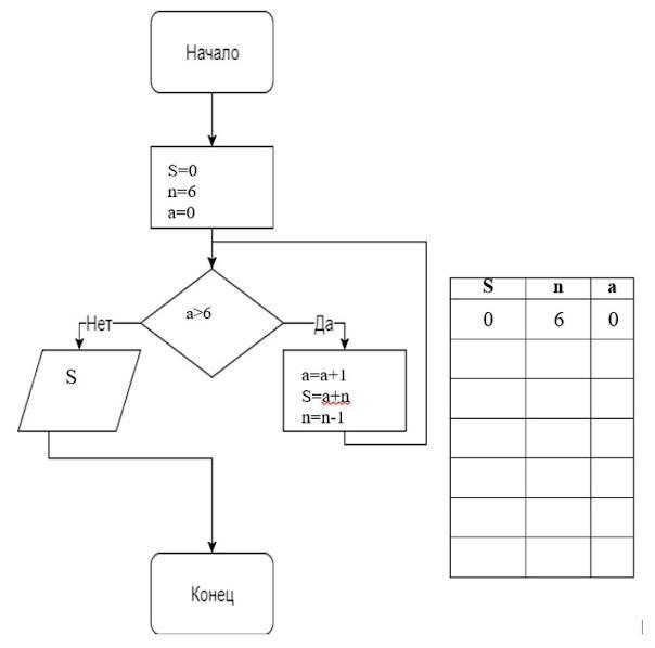
Рассмотрите блок-схему и заполните трассировочную таблицу

Приложения:

Ответы

Ответ дал: Chichivara228
0

Ответ:

Приведенная тобой блок-схема возможно имеет опечатку, поэтому таблица не заполнится. Думаю, что "Да" и "Нет" нужно поменять местами, тогда она приобретет смысл. Иначе просто выведется S и цикл закончится.

Объяснение:

Если "Да" и "Нет" поменять местами, то таблица заполнится так:

  1. 0 6 0
  2. 7 5 1
  3. 7 4 2
  4. 7 3 3
  5. 7 2 4
  6. 7 1  5
  7. 7 0 6
  8. 7 -1 7

7

Конец

Вас заинтересует