• Предмет: Геометрия
  • Автор: chelnokovakateryna
  • Вопрос задан 2 года назад

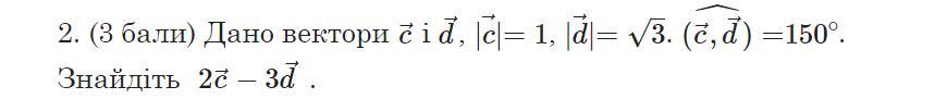
ДАНО ВЕКТОРИ a i b. c=1, d=\sqrt{3}

Приложения:

Ответы

Ответ дал: shisserleila
1
  1. a=2√3
  2. b=2√2+3
  3. c=3√2

4. d=2√3-3

5. e√12

(i) укажите два равных числа

(ii) Какое произведение двух чисел равно 3?

Вас заинтересует