Ответы
Ответ дал:
1
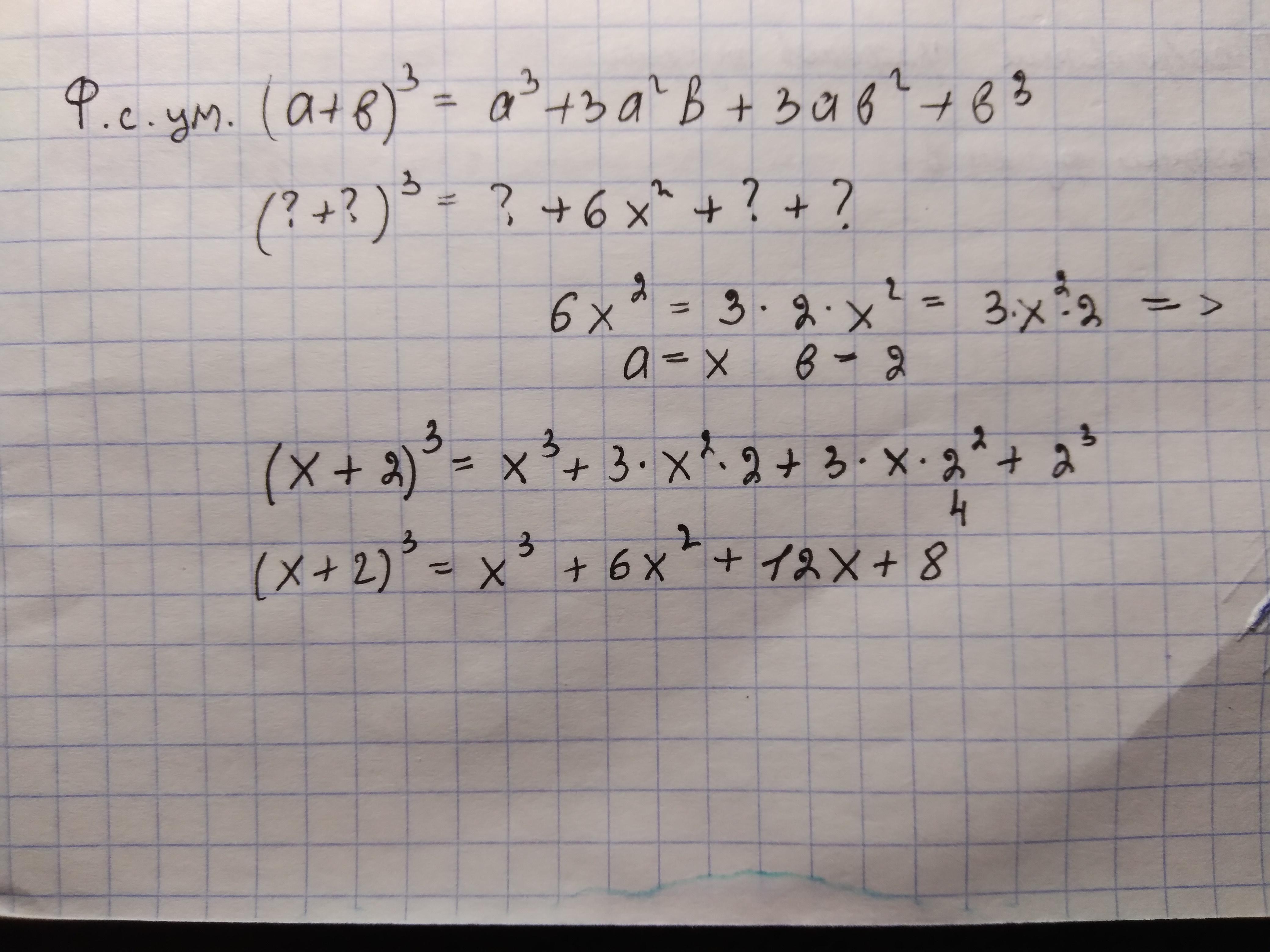
(x+2)³=x³+3x²·2+3x·2²+2³=x³+6x²+3x·4+8=x³+6x²+12x+8.
Для вирішення цього завдання, потрібно знати формулу кубу суми:
(a+b)³=a³+3a²b+3ab²+b³.
Ответ дал:
1
Ответ:
Объяснение:
по формуле сокращенного умножения
Приложения:

Вас заинтересует
1 год назад
1 год назад
1 год назад
3 года назад
3 года назад
8 лет назад