• Предмет: Физика
  • Автор: novream
  • Вопрос задан 2 года назад

Розв'яжіть задачу.
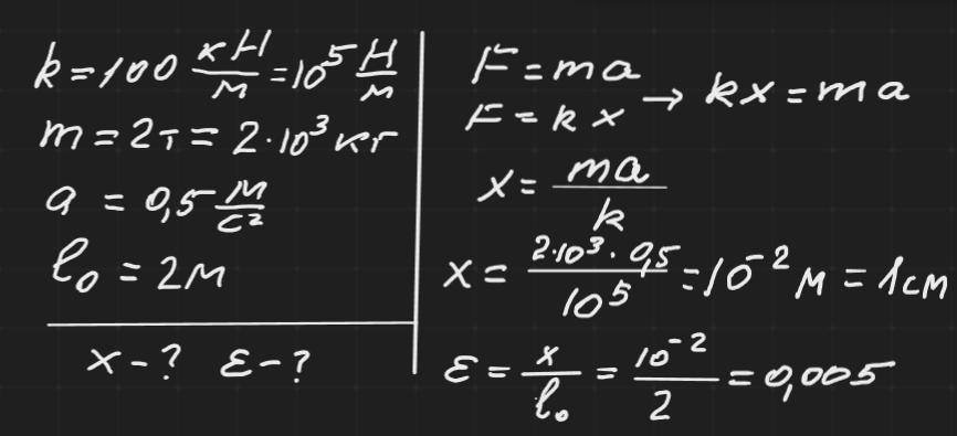
Визначте видовження та відносне видовження
троса жорсткістю 100 кН/м пiд час буксирування автомобіля масою 2 т з прискоренням
0,5 м/с², якщо довжина нерозтягнутого троса
дорівнює 2 м. Опором руху автомобіля знехтуйте.

Приложения:

Ответы

Ответ дал: zybkov1950
1

Відповідь: 1 см;    0,005

Пояснення:

Приложения:

novream: дякую!
Вас заинтересует