• Предмет: Физика
  • Автор: showcracker
  • Вопрос задан 2 года назад

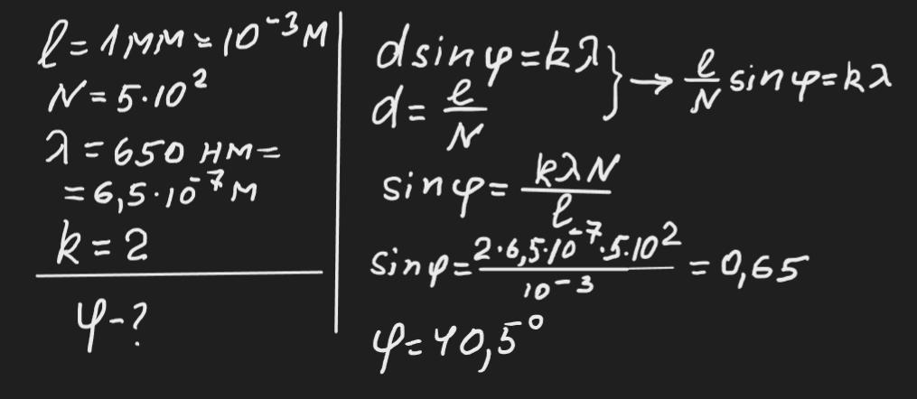
На дифракційну решітку, що має 500 штрихів на 1мм, падає нормально
світло з довжиною хвилі 650нм. Знайти кут відхилення дифракційного
променя, що відповідає другому дифракційному максимуму.

Ответы

Ответ дал: zybkov1950
0

Відповідь: ≈ 40,5⁰

Пояснення:

Приложения:

Аноним: Добрий день
Аноним: можна задати питання?
oleksandrtkach2000: Що з балами?
Аноним: Не знаю
Вас заинтересует