• Предмет: Физика
  • Автор: kiddo226
  • Вопрос задан 2 года назад

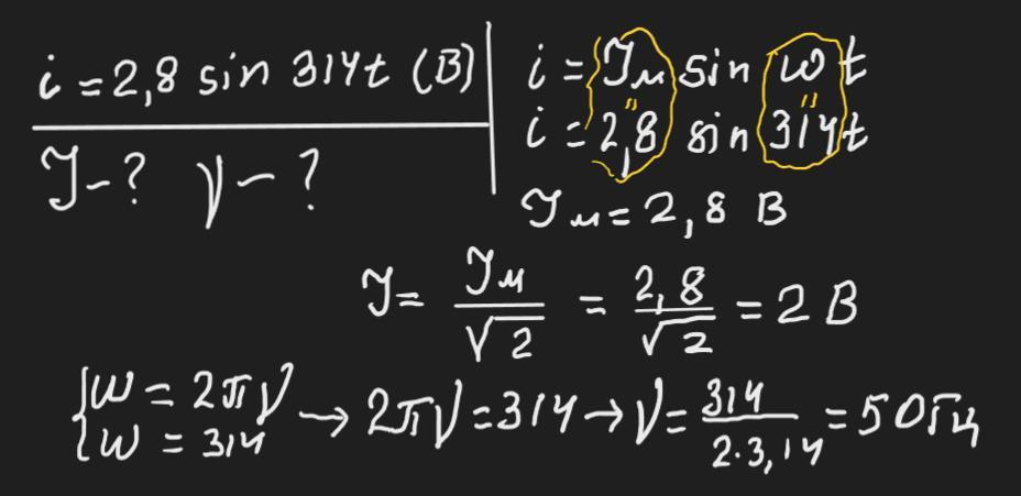
Сила струму в колі змінного струму змінюється за законом I = 2,8sin314t. Яке діюче значення цього струму і яка його частота ? Будь ласка з дано розв'язанням і обчисленням, даю 50 балів

Ответы

Ответ дал: zybkov1950
0

Відповідь: 2 В        50 Гц

Пояснення:

Приложения:
Вас заинтересует