• Предмет: Математика
  • Автор: milanarotari92
  • Вопрос задан 2 года назад

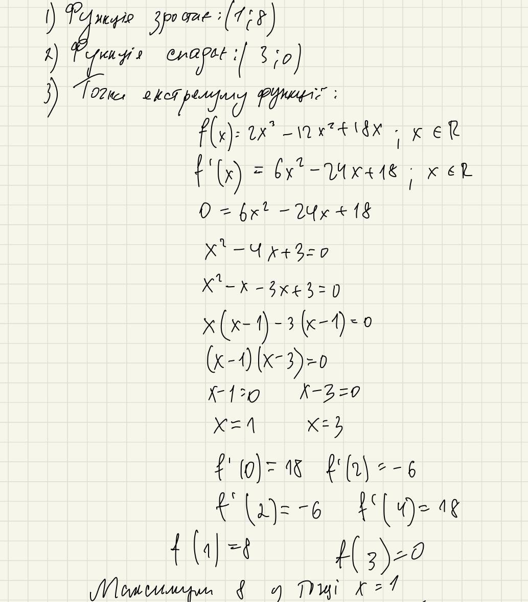
ДОПОМОЖІТЬ БУДЬЛАСКА!!! СРОЧНО ПОТРІБНО

Приложения:

Ответы

Ответ дал: Аноним
1
Це відповідь
………()()()()()()
Приложения:

milanarotari92: дякую тебе велике!!!!
Аноним: Нема за що. Звертайся.
Вас заинтересует