• Предмет: Алгебра
  • Автор: petryshak
  • Вопрос задан 2 года назад

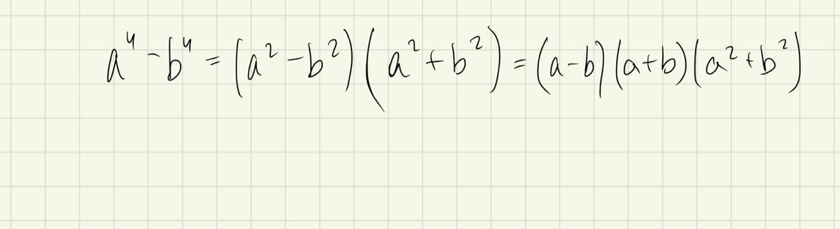
a⁴-b⁴
ПЖ ОЧЕНЬ СРОЧНО ​

Ответы

Ответ дал: Аноним
1
Вот ответ
………..()()()()()
Приложения:
Ответ дал: brownkpop
1

Ответ:

(а²-b²)×(a²+b²)

Обяснение

Приложения:
Вас заинтересует