• Предмет: Физика
  • Автор: kritike2510
  • Вопрос задан 2 года назад

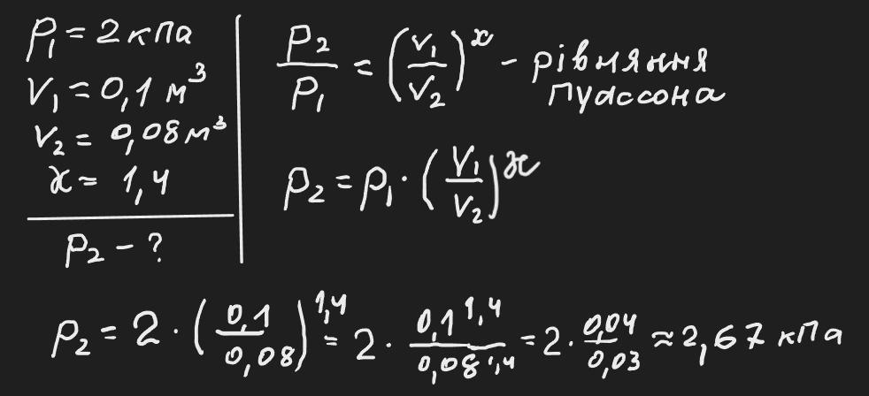
Тиск ідеального газу дорівнює 2 кПа, об’єм 0,1 м^3. Після адіабатного стиснення об’єм газу став рівним 0,08 м^3. Знайти тиск газу (в кПа) після стиснення. Показник адіабати для цього газу дорівнює 1,4. В розрахунках прийняти 0,1^1,4=0,04; 0,08^1,4=0,03

Ответы

Ответ дал: zybkov1950
1

Відповідь: ≈2,67 кПа

Пояснення:

Приложения:
Вас заинтересует