• Предмет: Физика
  • Автор: Vladyslav332
  • Вопрос задан 2 года назад

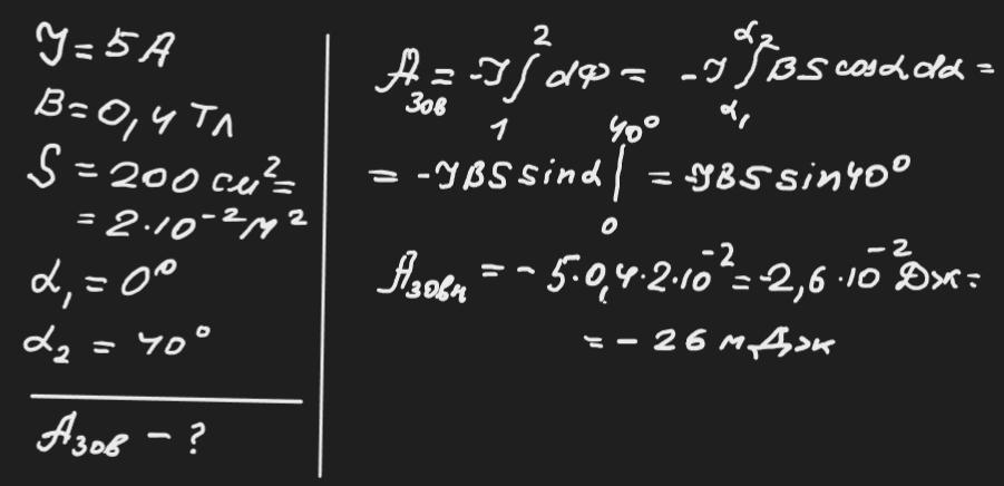
Плоский контур із струмом силою I = 5 A розміщений в однорідному магнітному полі з індукцією B = 0,4 Тл. Площа контуру S = 200 cм2. Підтримуючи струм в контурі незмінним, його повернули відносно осі, що лежить в площині контуру, на кут 40°. Визначити здійснену при цьому роботу.

Ответы

Ответ дал: zybkov1950
2

Відповідь: -26 мДж

Пояснення:

Приложения:
Вас заинтересует