Ответы
Ответ дал:
1
Ответ:
Объяснение:
вчера уже кому то решала
Приложения:

Ответ дал:
1
Ответ:
Объяснение:
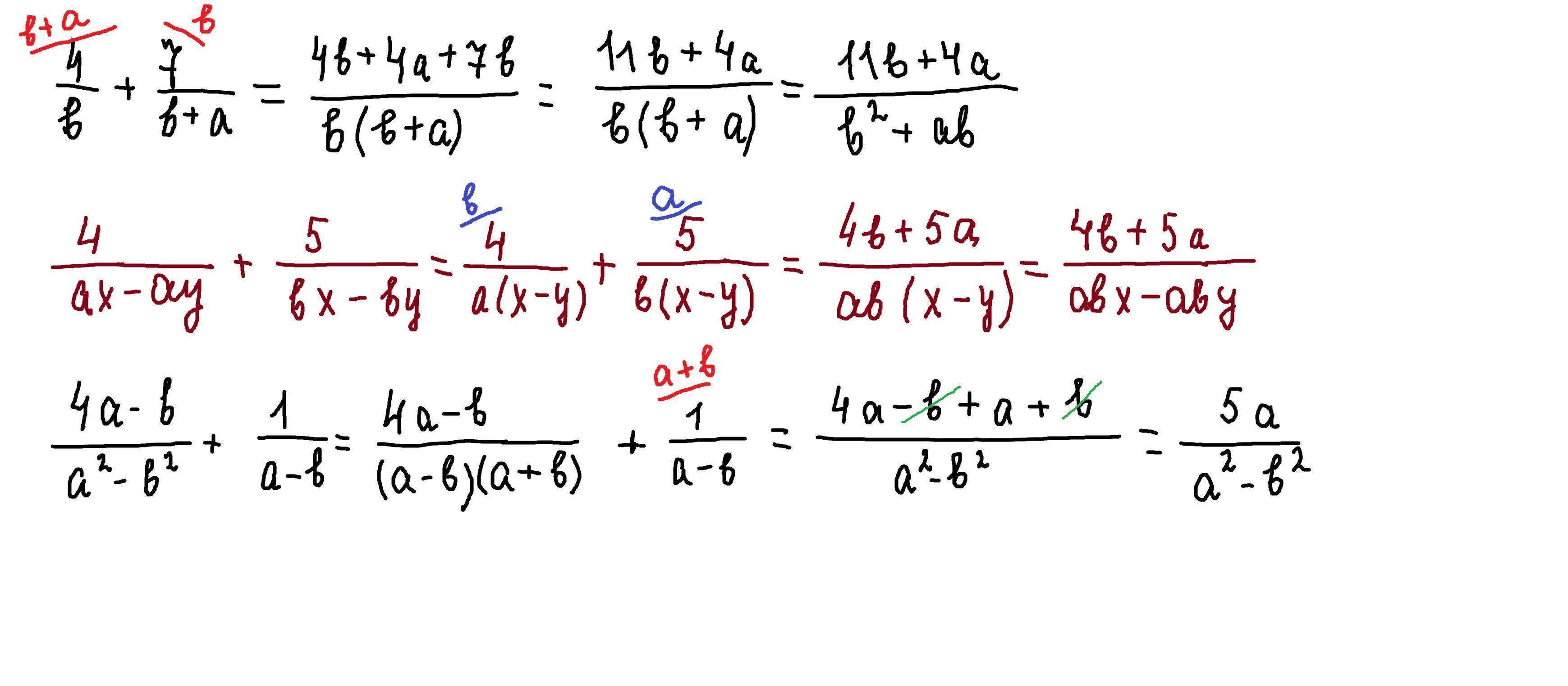
1)
2)
3)
Вас заинтересует
1 год назад
1 год назад
1 год назад
3 года назад
3 года назад
8 лет назад