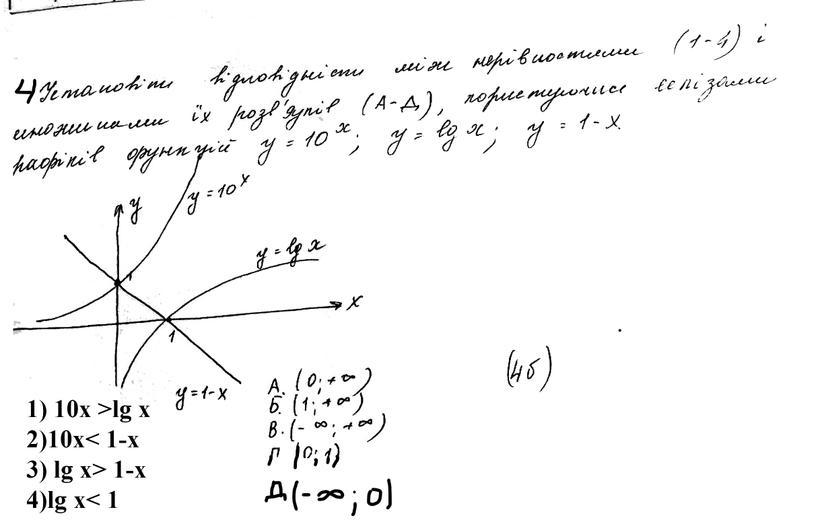
Установіть відповідності між нерівностями (1-4) і множниками їх розвʼязків (А-Д), користуючись графіків функцій x=10^x;y=lg x; y=1-x
1)10x>lg x. A. (0;+нескінченність)
2)10x<1-x. Б. (1;+нескін.)
3)lg x>1-x. В. (-нескін.;+нескін.)
4)lg x<1. Г. [0;1)
Д.(-нескінч.;0)
Приложения:

Ответы
Ответ дал:
0
Ответ:
Объяснение:
Укроина то
Вас заинтересует
1 год назад
1 год назад
3 года назад
3 года назад
8 лет назад