• Предмет: Алгебра
  • Автор: Ymnishka228
  • Вопрос задан 2 года назад

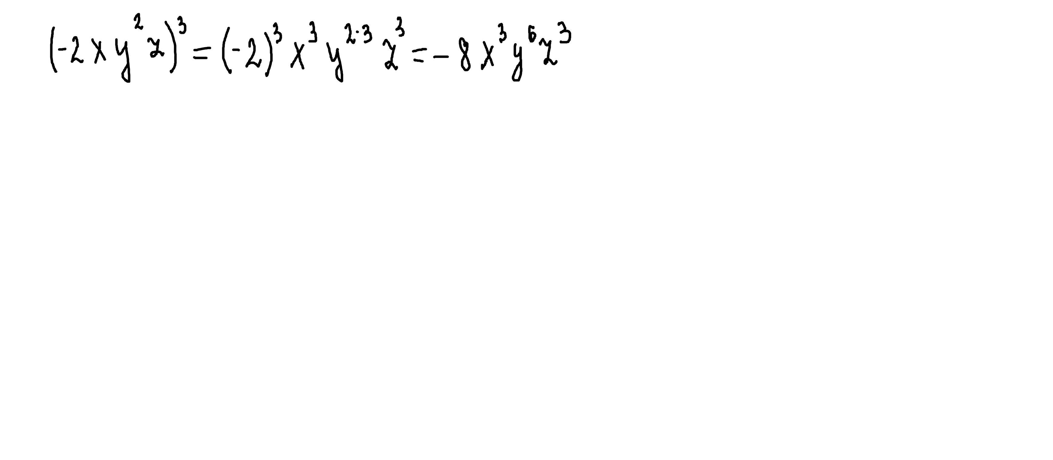
Виконати пiднесення до степення (-2xy2 z)3

Ответы

Ответ дал: parus77
1

Ответ:

Объяснение:

решение внизу

Приложения:

Ymnishka228: Спасибо
Вас заинтересует