• Предмет: Физика
  • Автор: octtummg
  • Вопрос задан 2 года назад

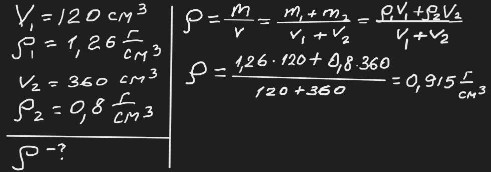
Змішали 120 см3
гліцерину та 360 см3
спирту. Знайдіть густину суміші.
Вважайте, що об’єм суміші дорівнює сумі об’ємів складових.
пажалуста з дано и рабочей формулой

Ответы

Ответ дал: zybkov1950
0

Відповідь: 0,915 г/см³

Пояснення:

Приложения:
Вас заинтересует