• Предмет: Физика
  • Автор: lydmilakulaets07
  • Вопрос задан 2 года назад

Поможіть з фізикою))))​

Приложения:

Ответы

Ответ дал: msv93
0

Объяснение:

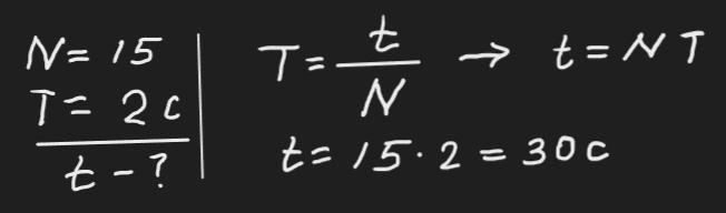
Розв'язування на фотографії

Приложения:
Ответ дал: zybkov1950
0

Відповідь: 30 с

Пояснення:

Приложения:
Вас заинтересует