• Предмет: Математика
  • Автор: vitalikos45
  • Вопрос задан 2 года назад

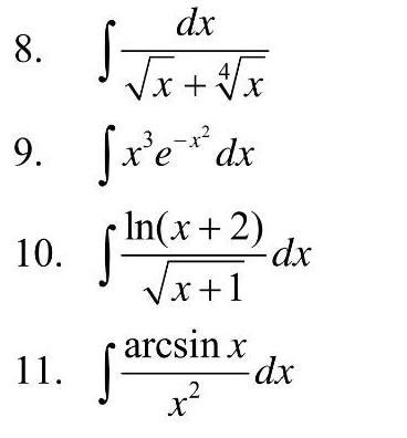
допоможіть розв'язати невизначені інтеграли

Приложения:

Ответы

Ответ дал: nexellios
0

Условные обозначения:

int: интеграл

sqrt: корень

8.  int(1/(sqrt(x)+sqrt4(x))dx = 2sqrt(x)-4sqrt4(x)+4ln(sqrt4(x)+1) + C

9.  int((x^3)(e^-x^2)dx = int(x^3/e^2x) = (4x^3+6x^2+6x+3/-8e^2x) + C

10. int(ln(x+2)/sqrt(x+1))dx = 4arctg(sqrt(x+1) + sqrt(x+1)(2ln(x+2)-4) + C

11. int(arcsinx/x^2)dx = ln(|sqrt(1-x^2)-1|)/2 - ln(sqrt(1-x^2)+1)/2 - arcsin(x)/x + C

Вас заинтересует