• Предмет: Физика
  • Автор: diana73sv
  • Вопрос задан 2 года назад

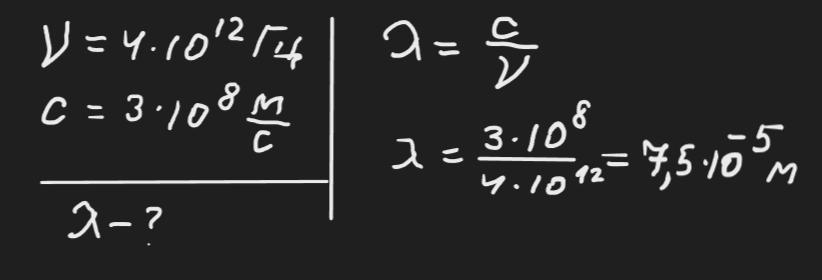
Визначте довжину електромагнітної хвилі у вакуумі, якщо її частота дорівнює 4∙1012 Гц ? До якого діапазону належить ця хвиля?

Ответы

Ответ дал: zybkov1950
0

Відповідь: 7,5·10⁻⁵ м; інфрачервоне

Пояснення:

Приложения:
Вас заинтересует