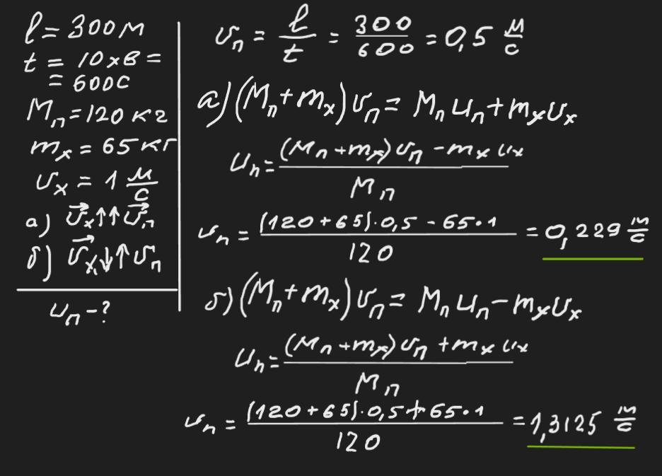
По річці сплавляють пліт масою 120 кг. Він рухається рівномірно прямолінійно і за 10 хв проходить 300 м відносно берега. Визначте швидкість та напрямок руху плота після того, як з нього стрибнув хлопчик масою 65 кг зі швидкістю відносно берега 1 м/с. Розгляньте випадки, коли: а) хлопчик стрибнув у напрямку руху плота; б) хлопчик стрибнув проти напрямку руху плота.
Ответы
Ответ дал:
0
Ответ:
см фото.
Объяснение:
Приложения:

Ответ дал:
0
Відповідь: Див. додаток
Пояснення:
Приложения:

Вас заинтересует
1 год назад
1 год назад
1 год назад
1 год назад
3 года назад
8 лет назад