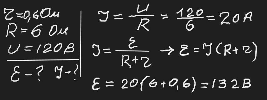
Внутрішній опір джерела струму 0,6 Ом. При підключенні до нього зовнішнього опору 6 Ом напруга на затискачах 120 В. Визначити ЕРС джерела і силу струму в колі.
Внутреннее сопротивление источника тока 0,6 Ом. При подключении к нему внешнего сопротивления 6 Ом напряжение на зажимах 120 В. Определить ЭДС источника и силу тока в цепи.
Ответы
Ответ дал:
2
Відповідь: 132 В 20 А
Пояснення:
Приложения:

Вас заинтересует
1 год назад
1 год назад
1 год назад
1 год назад
3 года назад
8 лет назад
8 лет назад