• Предмет: Математика
  • Автор: erasylikh
  • Вопрос задан 2 года назад

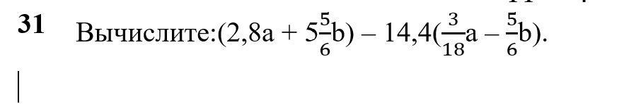
(2, 8a + 5 5/6 * b) - 14, 4(3/18 * a - 5/6 * b)
Помогите мне с заданием

Приложения:

Ответы

Ответ дал: lisa7256
2

Пошаговое объяснение:

(2.8 \times a +  \frac{35}{6}  \times b) -  \frac{72}{5}  \times ( \frac{1}{6} \times a -  \frac{5}{6}  \times b  ) = 2.8 \times a +  \frac{35}{6}  \times b -  \frac{12}{5}  \times a + 12 \times b =  \frac{14}{5}  \times a +  \frac{107}{6}  \times b -  \frac{12}{5}  \times a =  \frac{2}{5}  \times a +  \frac{107}{6}  \times b


erasylikh: Очень быстро
erasylikh: Я удивлён
lisa7256: Мне скучно)
lisa7256: Баллы не дают за задания, но все равно помогаю :]
Вас заинтересует