Помогите пожалуйста решить 2 примера которые я прикрепил ниже скрином. Только нужно расписать их чтоб не просто ответ только был! Спасибо заранее)
Приложения:
Ответы
Ответ дал:
0
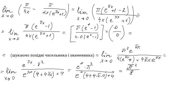
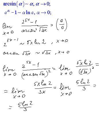
Відповідь:
Пояснення:
Приложения:
Вас заинтересует
2 года назад
2 года назад
2 года назад
2 года назад
3 года назад
3 года назад
9 лет назад