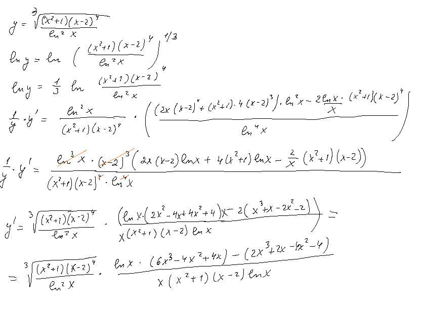
Помогите решить один пример который прикрепил ниже скрином. Заранее спасибо тому кто сделает!
Приложения:

Ответы
Ответ дал:
0
Відповідь:
Пояснення:
Приложения:

Вас заинтересует
1 год назад
1 год назад
1 год назад
3 года назад
3 года назад
8 лет назад