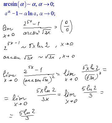
Обчислити границю, використовуючи еквівалентні функції.
Скриншот задания прикрепил ниже. Жду вашей помощи потому что очень срочно нужен ответ! ПОМОГИТЕ СРОЧНО НУЖЕН ОТВЕТ!
Приложения:

Ответы
Ответ дал:
0
Відповідь:
Пояснення:
Приложения:

Вас заинтересует
1 год назад
1 год назад
1 год назад
1 год назад
3 года назад
8 лет назад
8 лет назад