• Предмет: Математика
  • Автор: milenkaovcinnikova
  • Вопрос задан 2 года назад

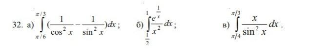
Допоможіть будь ласочка ​

Приложения:

Ответы

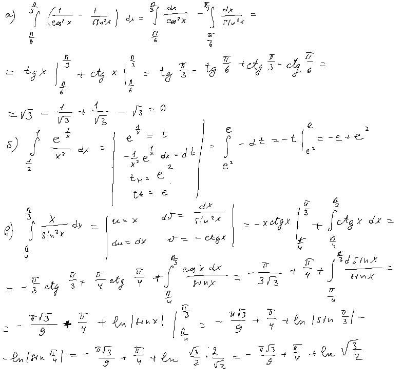
Ответ дал: dashulka22222
1

Відповідь:

Покрокове пояснення:

Приложения:

milenkaovcinnikova: дуже дякую
dashulka22222: будь ласка)
Вас заинтересует