• Предмет: Математика
  • Автор: biorobotbotbio
  • Вопрос задан 2 года назад

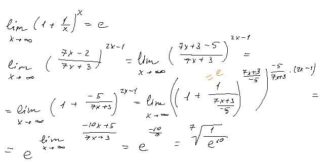
Найти предел функций

Приложения:

Ответы

Ответ дал: dashulka22222
1

Відповідь:

Покрокове пояснення:

Приложения:

biorobotbotbio: спасибо большое просто лучшая!!!
Вас заинтересует