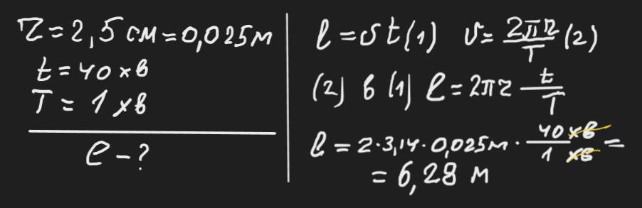
Довжина секундної стрілки годинника 2,5 см. Який шлях в метрах подолає кінець стрілки за 40 хв? Вважайте, що π=3,14 . У відповіді запишіть лише число, через крапку.
Розпишіть!!!
Ответы
Ответ:
Объяснение:
Щоб знайти відстань, яку пройде кінець секундної стрілки за 40 хвилин, потрібно визначити окружність циферблата годинника і кількість разів, яку стрілка обійде циферблат за 40 хвилин.
Окружність циферблата годинника дорівнює діаметру циферблата, помноженому на пі, або 2 рази радіусу, помноженому на пі. Якщо довжина секундної стрілки 2,5 см, то радіус циферблата дорівнює 2,5 см/2 = 1,25 см. Це означає, що окружність циферблата дорівнює 2*1,25 см*пі=<21,253,14=7,85>>7,85 см.
У хвилині 60 секунд, тому за 40 хвилин секундна стрілка зробить 40*60 = <<40*60=2400>>2400 повних обертів.
Таким чином, загальна відстань, пройдена кінцем стрілки за 40 хвилин, становить 2400*7,85 см = <<2400*7,85=18960>>18960 см.
Щоб перевести цю відстань із сантиметрів у метри, ділимо на 100: 18960 см / 100 см/м = <<18960/100=189,6>>189,6 метрів.
Отже, відстань, пройдена кінцем секундної стрілки за 40 хвилин, становить приблизно 189,6 метра.
Відповідь: 6,28 м
Пояснення:
