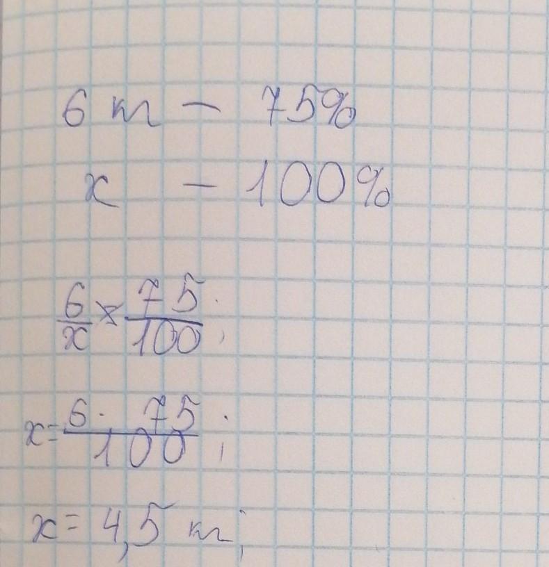
їх купують жите рази. Свіжі квіти ромашки лікарської містять 75% води, а сухі Виконай завдання в робочому зошиті. Скільки сухої ромашки можна отримати із 6 кг свіжої? помашки, календули 7 Та -
Приложения:
                     
                            
                    Аноним:
                    нажми на корону пж
                
            
                    
                    и на сбасибо
                
            
                    
                    пж
                
            
                    
                    если не сложно
                
            
                    
                    взамен того штоб отметить нажать на корону жалобы высылаем да?
                
            Ответы
                                            Ответ дал: 
                                                                                    
                                        
                                            
                                                
                                                
                                                
                                                    0
                                                
                                            
                                        
                                    Ответ:
4,5 кг сухої ромашки
Пошаговое объяснение:
Мабуть буде так, але це не точно!!
Приложения:
                     
                            
                                            Ответ дал: 
                                                                                    
                                        
                                            
                                                
                                                
                                                
                                                    0
                                                
                                            
                                        
                                    Пошаговое объяснение:
1) 100 - 75 = 25 (%) - свежие цветы ромашки без воды
2) 6 * 25% : 100 = 1,5 (кг) - масса свежих цветов ромашки без воды
3) 100 - 10 = 90 (%) - сухие цветы ромашки без воды
4) 1,5 * 100% : 90% = 150 : 90 = 1,666... ≈ 1,7 (кг) - можно получить сухой ромашки из 6кг свежей
Вас заинтересует
                
                        1 год назад
                    
                
                        1 год назад
                    
                
                        1 год назад
                    
                
                        3 года назад
                    
                
                        8 лет назад