• Предмет: Информатика
  • Автор: cloudySIUUUUUUUUU
  • Вопрос задан 2 года назад

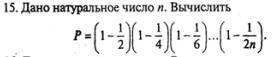
Помогите решить на Python
Вот пример на с#:
using System;

namespace ConsoleApp1

{

internal class Program

{

private static void Main()

{

Console.Write("Enter n: ");

int n = int.Parse(Console.ReadLine());

if (n < 1)

{

Console.WriteLine("incorrect value");

return;

}

double res = 1;

for (int i = 1; i <= n; i++)

res *= 1 + 1 / Math.Pow(i, 2);

Console.WriteLine($"Result: {res}");

Console.ReadLine();

}

}

}

Приложения:

Ответы

Ответ дал: sulpak110011
0

Ответ:

35679009776543224567

Вас заинтересует