• Предмет: Физика
  • Автор: elnnhloix
  • Вопрос задан 2 года назад

помогите
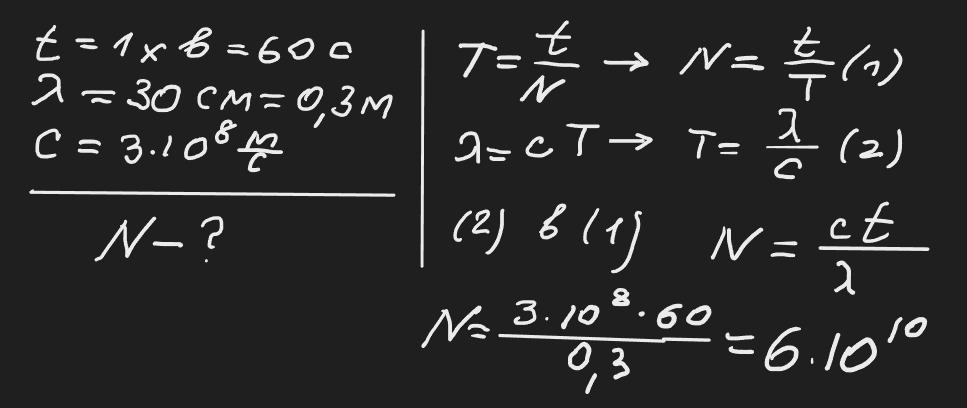
Скільки коливань здійснює джерело електромагнітних хвиль за 1 хв з
довжиною хвилі 30 см.

Ответы

Ответ дал: zybkov1950
0

Відповідь: 6·10¹⁰

Пояснення:

Приложения:
Вас заинтересует