• Предмет: Математика
  • Автор: kazakovandrij620
  • Вопрос задан 2 года назад

Пожайлуста.пропорция.фото

Приложения:

Ответы

Ответ дал: parus77
2

Ответ:

х=10,5

Пошаговое объяснение:

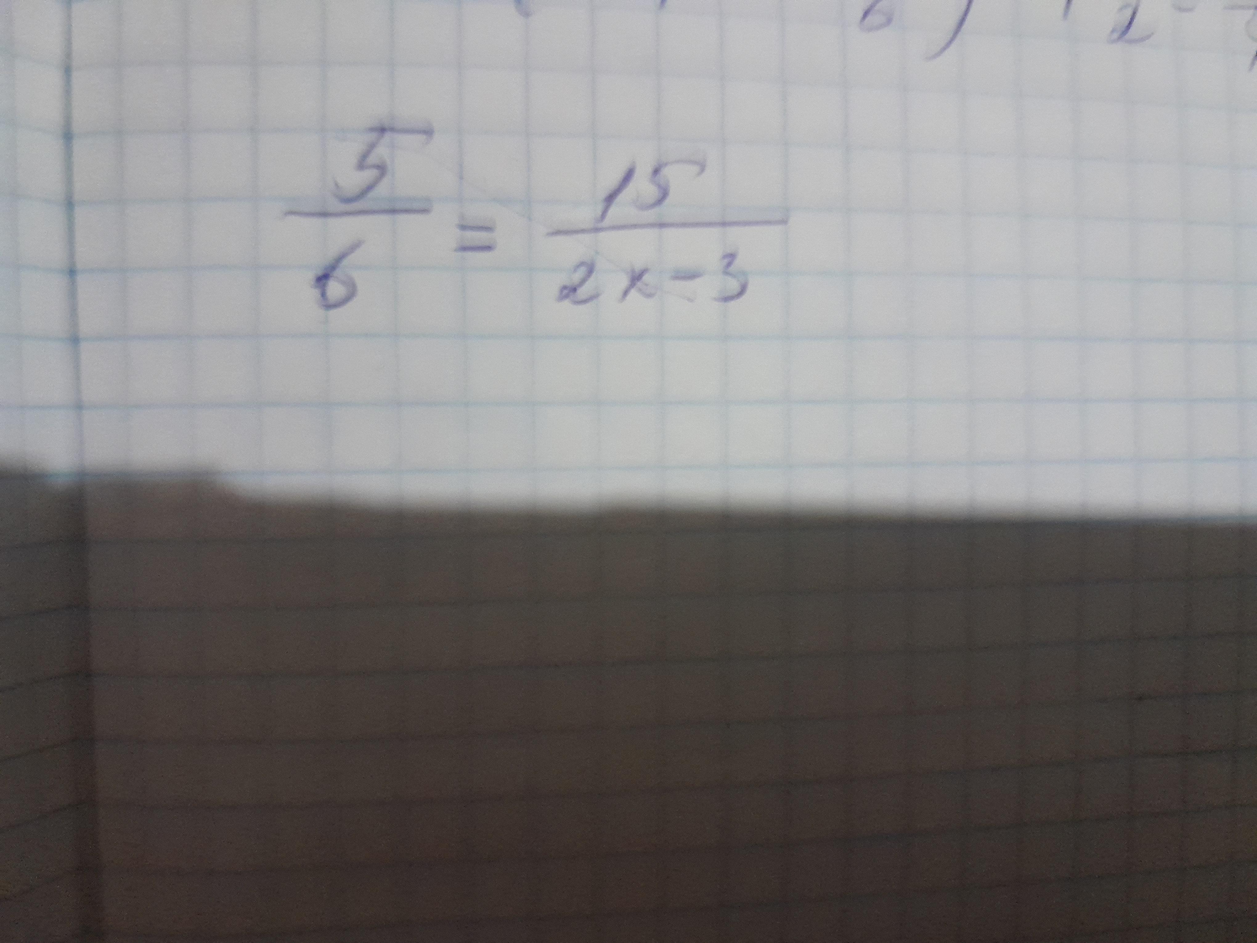
5/6=15 / (2х-3)

5(2х-3)=6*15

2х-3= 90:5

2х-3=18

2х=18+3

2х=21

х=21:2

х=10,5

Вас заинтересует