ДАЮ МНОГО БАЛЛОВ. Доброго дня суток. Помогите решить задание по математике. Буду очень благодарен, заранее спасибо.
Приложения:

Ответы
Ответ дал:
1
Відповідь:
Покрокове пояснення:
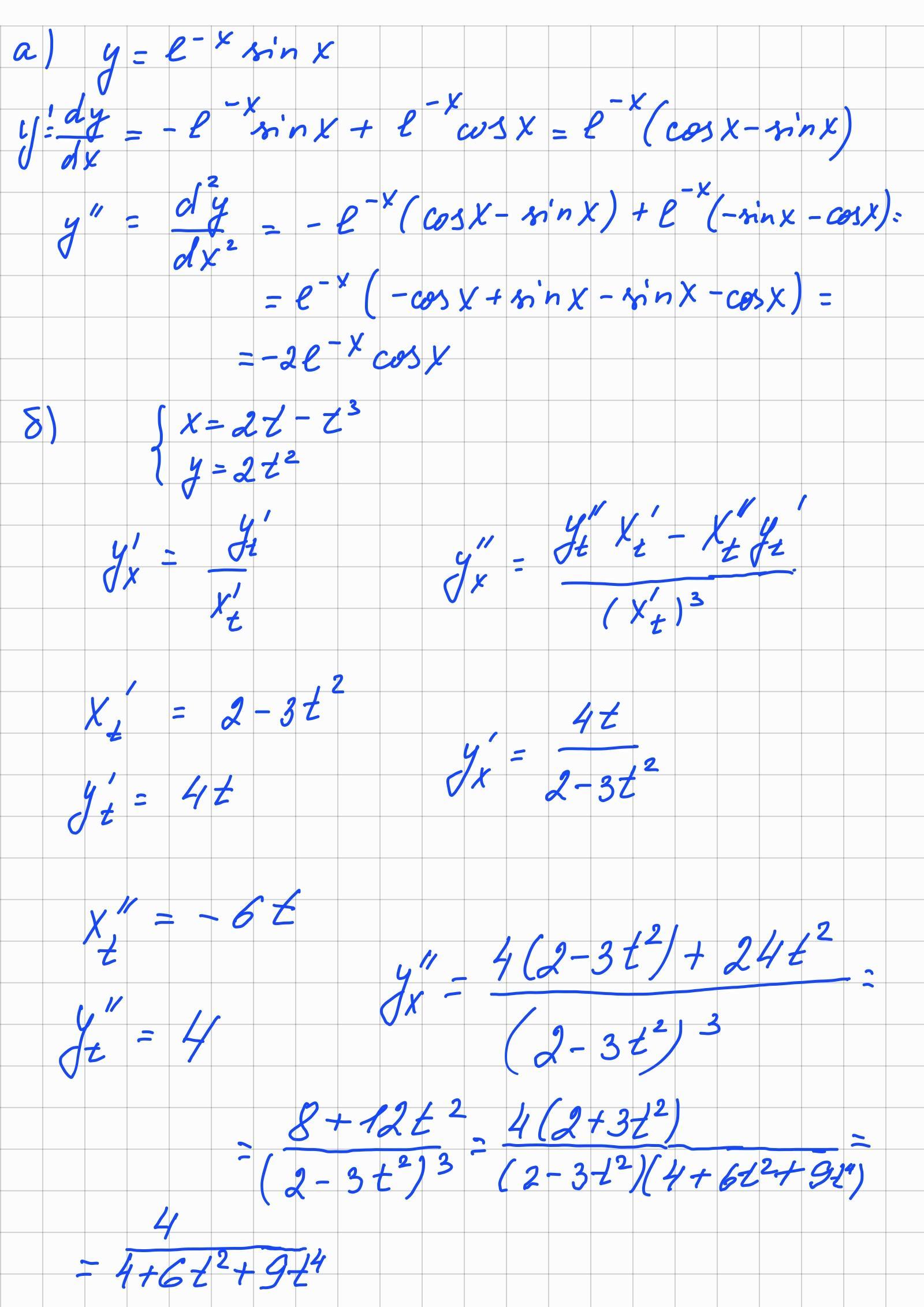
Приложения:

wenwwirr:
Добрый день, помогите пожалуйста с последним заданием в профиле
Вас заинтересует
1 год назад
1 год назад
1 год назад
1 год назад
3 года назад
8 лет назад
8 лет назад