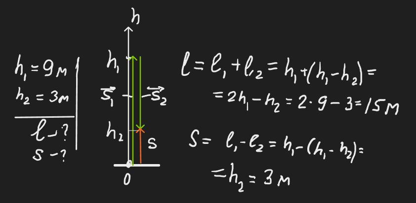
М'яч кинутий із землі вертикального вгору досяг висоти 9 м і потім його спіймали на балконі на висоті 3 м над землею.знайдіть шлях і модуль переміщення м'яча
Ответы
Ответ дал:
1
Відповідь:
s(шлях)=9+(9-3)==15м
s(переміщ)=3м
Пояснення:
Ответ дал:
1
Відповідь:15 м - шлях; 3 м - модуль переміщення
Пояснення:
Приложения:

Вас заинтересует
1 год назад
1 год назад
1 год назад
1 год назад
3 года назад
3 года назад
8 лет назад