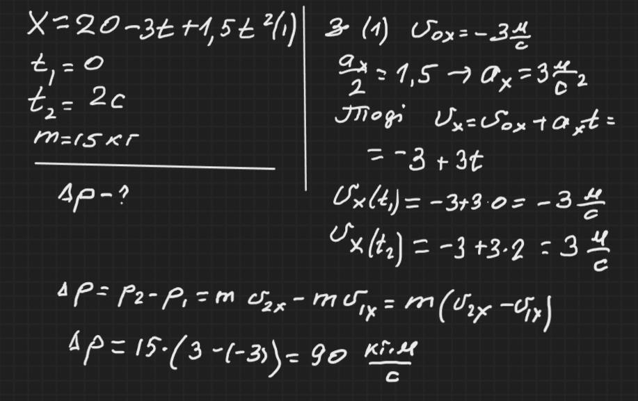
Рівняння руху тіла для координати має вигляд x=20-3t+1.5t^2 . Визначте
зміну імпульсу тіла через 2 секунди після початку руху, якщо маса тіла дорівнює 15
кг
Ответы
Ответ дал:
5
Відповідь: 90 кг·м/с
Пояснення:
Приложения:

chelnokovakateryna:
Величезне дякую❤️
Ответ дал:
3
Ответ: 90кг*м/с
Объяснение:
Дано:
x=20-3t+1.5t^2
t=2с
m=15кг
-----------------
Δр-?
Δр=р2-р1, где:
р1-начальный импульс тела;
р2-импульс тела через 2с.
р=m*V, где:
m-масса тела;
V-скорость тела.
Скорость тела через равна производной уравнения движения тела:
V=(x)'=(20-3t+1.5t^2)'=3t-3
Vo=3*0-3=-3м/с
V=3*2-3=3м/с
Δр=15*3-15*(-3)=45-(-45)=90кг*м/с
Вас заинтересует
1 год назад
1 год назад
1 год назад
1 год назад
3 года назад
3 года назад
8 лет назад
8 лет назад