• Предмет: Алгебра
  • Автор: Vladimir2022LFT
  • Вопрос задан 2 года назад

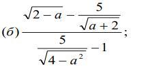
Упростите выражение:
8 Класс

Приложения:

Ответы

Ответ дал: NNNLLL54
1

Ответ:

Упростить выражение. Применяем формулу разности квадратов :

   \bf (x-y)(x+y)=x^2-y^2   .              

\displaystyle \bf \frac{\sqrt{2-a}-\dfrac{5}{\sqrt{a+2}}}{\dfrac{5}{\sqrt{4-a^2}}-1}}=\frac{\dfrac{\sqrt{2-a}\cdot \sqrt{a+2}-5}{\sqrt{a+2}}}{\dfrac{5-\sqrt{4-a^2}}{\sqrt{4-a^2}}}=\\\\\\=\frac{(\sqrt{(2-a)(2+a)}-5)\cdot \sqrt{4-a^2}}{\sqrt{a+2}\cdot (5-\sqrt{4-a^2)}}=\frac{(\sqrt{4-a^2}-5)\cdot \sqrt{4-a^2}}{-\sqrt{a+2}\cdot (\sqrt{4-a^2}-5)}=\\\\\\=-\frac{\sqrt{4-a^2}}{\sqrt{a+2}}=-\frac{\sqrt{(2-a)(2+a)}}{\sqrt{2+a}}=-\frac{\sqrt{2-a}\cdot \sqrt{2+a}}{\sqrt{2+a}}=-\sqrt{2-a}

Вас заинтересует