Ответы
Ответ дал:
0
Ответ:
вроде бы все расписала,надеюсь поймёшь
Приложения:

mostovm14:
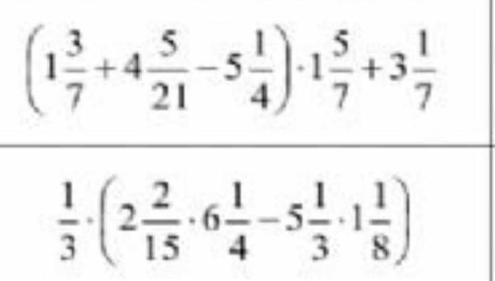
там было не понятно делить нужно или это два отдельны примера ,поэтому я на всякий случай поделила ,а если не нужно было то ответы в кружочках
Вас заинтересует
1 год назад
1 год назад
3 года назад
8 лет назад