• Предмет: Математика
  • Автор: filmorminecraft2288
  • Вопрос задан 2 года назад

Помощь даю 100 баллов!

Приложения:

Ответы

Ответ дал: FaerVator
2

Ответ:

3/8

Пошаговое объяснение:

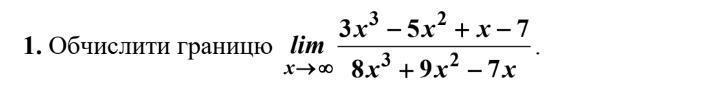
 \displaystyle \lim_{x\rightarrow \infty }\frac{ 3x {}^{3}   - 5x {}^{2}  + x - 7}{8x {}^{3}  + 9x {}^{2}  - 7x} = \\= \lim_{x\rightarrow \infty }\frac{3 \cdot \infty  {}^{3}  - 5 \cdot \infty  {}^{2} +  \infty  - 7 }{8 \cdot \infty  {}^{3} + 9 \cdot \infty  {}^{2}   - 7 \cdot \infty } = \bigg[\frac{ \infty }{ \infty }\bigg]

При вычислении пределов с многочленами - легче числитель и знаменатель разделить почленно на х в старшой степени.

То есть:

\displaystyle \large   \lim_{x\rightarrow \infty }\frac{  \frac{3x ^{3} }{x {}^{3} }   - \frac{ 5x {}^{2} }{x {}^{3}  }+  \frac{x}{x {}^{3} } -  \frac{7}{x {}^{3} }}{ \frac{8x {}^{3}}{x {}^{3} }  +  \frac{9x {}^{2}}{x {}^{3} }  -  \frac{7x}{x {}^{3}} }  = \\  \large  = \lim_{x\rightarrow \infty }\frac{3 -  \frac{5}{x} +  \frac{1}{x {}^{2} }   -  \frac{7}{x {}^{3} } }{8 +  \frac{9}{x} -  \frac{7}{x {}^{2} }  } =   \lim_{x\rightarrow \infty }\frac{3 -  \frac{5}{ \infty }  +  \frac{1}{ \infty  {}^{2} }  -  \frac{7}{ \infty  {}^{3} } }{8 +  \frac{9}{ \infty } -  \frac{7}{ \infty  {}^{2} }  } = \displaystyle \lim_{x\rightarrow \infty }\frac{3 - 0  + 0 - 0}{8 + 0 - 0}  =  \frac{3}{8}

Примечание:

 \boxed{\boldsymbol{\lim_{x\rightarrow \pm \infty } \frac{1}{x^n }  = 0 ~,~n\in N}}

Вас заинтересует