• Предмет: Математика
  • Автор: allaradcuk7
  • Вопрос задан 2 года назад

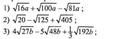
Спростіть вираз:
срочно!! ​

Приложения:

Ответы

Ответ дал: 68tata
0

Відповідь:

1)5√a
2)6√5
3) -5\frac{1}{3} \sqrt{3b}

Покрокове пояснення:

1)

\sqrt{16a}+\sqrt{100a}-\sqrt{81a}=\sqrt{x4^2a}+\sqrt{10^2a}-\sqrt{9^2a}=4\sqrt{a} +10\sqrt{a} -9\sqrt{a}=\sqrt{a}(4+10-9)=5\sqrt{a}

2)

=\sqrt{4*5}-\sqrt{25*5}+\sqrt{81*5}=\sqrt{2^2*5}-\sqrt{5^2*5}+\sqrt{9^2*5}=2\sqrt{5}-5\sqrt{5}+9\sqrt{5}=  6\sqrt{5}

3)

=4\sqrt{9*3b}-5\sqrt{16*3b}+\frac{1}{3}\sqrt{64*3b}=12\sqrt{3b}-20\sqrt{3b}+\frac{8}{3} \sqrt{3b}=\sqrt{3b}(\frac{36-60+8}{3} )   = -\frac{16}{3}\sqrt{3b}= -5\frac{1}{3}\sqrt{3b}

Вас заинтересует