• Предмет: Физика
  • Автор: hosn99
  • Вопрос задан 2 года назад

Помогите пожалуйста.
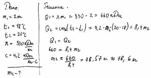
1. В бочку с водой опустили лед массой 2 кг при температуре 0 °С. Сколько воды было в бочке,
если после таяния льда температура воды уменьшилась от температуры 20 °С до
температуры 18 °С?
2.Какое количество теплоты потребуется для нагревания и плавления в железной коробке олова
массой 100 г, если их начальная температура была равна 32 °С? Масса коробки равна 30 г

Ответы

Ответ дал: g341852
0

1.Первое задание идёт в фото.

2.Дано:

m(масса) =100г. =0.1кг.

t=32 градуса

t плавления олова=232 градуса

с (удельная теплоемкость) =230Дж: кг. х градусы

(лямбда) -удельная теплота плавления=0.59*10в 5 степени

Решение:

Q1=c*m*(tпл. -t)

Q1=230*0.1*(232-32)=4600Дж

Q2=(лямбда) *m

Q2=0.59*10в 5 степени*0.1=59000Дж

Q=Q1+Q2

Q=4600+59000=63600Дж=63.6кДж

Ответ: 63.6кДж

Приложения:
Вас заинтересует