Допоможіть будь ласка:
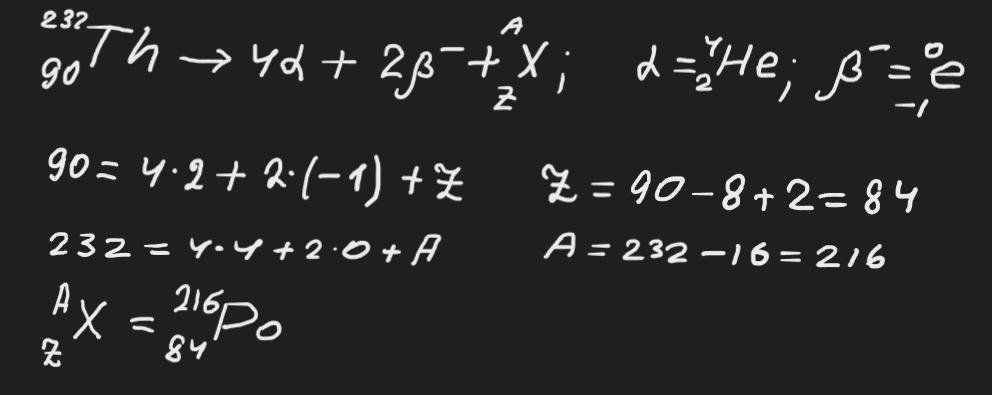
Який ізотоп утворюється із 232/90Th після чотирьох альфа - розпадів і двох бета - розпадів ?
Какой изотоп образуется из 232/90Th после четырех альфа - распадов и двух бета - распадов?
Приложения:

Ответы
Ответ дал:
1
Відповідь: ²¹⁶₈₈Ро
Пояснення:Застосуємо закони збереження зарядового та масового чисел
Приложения:

Вас заинтересует
1 год назад
1 год назад
1 год назад
3 года назад
8 лет назад
8 лет назад